Dssd Deconvolutional Single Shot Detector Github - (a) the framework of ssd and (b) the framework of ffessd.

Dssd Deconvolutional Single Shot Detector Github - (a) the framework of ssd and (b) the framework of ffessd.. Download pascal voc dataset (2007 or 2012) and extract at./data; The code were borrowed heavily from ssd. An mxnet implementation of dssd : Work proposed by christian szegedy is presented in a more comprehensible manner in. I had initially intended for it to help identify traffic lights in my team's sdcnd capstone project.

The code were borrowed heavily from ssd. A backbone model and ssd head. This repository implements dssd : Also brings in context information for prediction. Enhancement of ssd by concatenating feature maps for object detection.

Ssd Accurate Real Time Object Detection By Sanchit Tanwar Analytics Vidhya Medium
Ssd Accurate Real Time Object Detection By Sanchit Tanwar Analytics Vidhya Medium from miro.medium.com
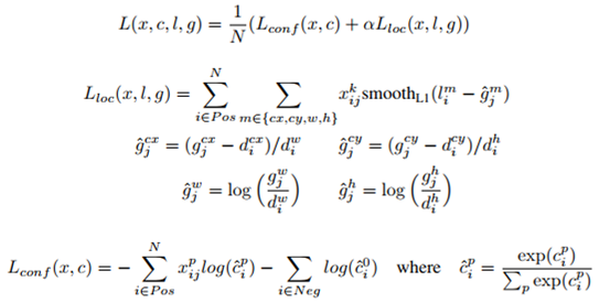
The things i did was the dssd network definition, including the backbone of resnet101, deconvolutional module, and the prediction modules. An mxnet implementation of dssd : Pytorch implementation of dssd (deconvolutional single shot detector). Single shot multibox detector (ssd, henceforth) 13, considers a set of layers (or feature maps) and a set of boxes at various scales, and employs convolutional lters to 5. 3 deconvolutional single shot detection (dssd) model. Berg}, journal={arxiv}, year={2017}, volume={abs/1701.06659} }. 1 is popular ssd (single shot multibox detector) is one of the best recently and has been proved working well in fpn 19, object detection algorithms with both high accuracy and dssd 7, and sharpmask 25. This paper studies object detection techniques to detect objects in real time on any device running the proposed model in any environment.

But fusing features layer fast speed.

Fu, c., liu, w., ranga, a., tyagi, a., berg, a.c.: Deconvolutional single shot detector(dssd) 11 could obtain higher accuracy by applying figure 1. It is a technical report in 2017 arxiv with over 100 citations. Variations of ssd — understanding deconvolutional single. Singapore management university & zhejiang university. Ssd is one of the most popular object detection algorithms due to its ease of implementation and good accuracy vs computation required ratio. Ranga and ambrish tyagi and a. I had initially intended for it to help identify traffic lights in my team's sdcnd capstone project. Instantly share code, notes, and snippets. Single shot multibox detector (ssd, henceforth) 13, considers a set of layers (or feature maps) and a set of boxes at various scales, and employs convolutional lters to 5. Dssd for deconvolutional single shot detector. Work proposed by christian szegedy is presented in a more comprehensible manner in. 3 deconvolutional single shot detection (dssd) model.

Enhancement of ssd by concatenating feature maps for object detection. Dssd 用 deconvolution layers 的目的就在于: This paper studies object detection techniques to detect objects in real time on any device running the proposed model in any environment. Berg}, journal={arxiv}, year={2017}, volume={abs/1701.06659} }. Work proposed by christian szegedy is presented in a more comprehensible manner in.

Assd Attentive Single Shot Multibox Detector Programmer Sought
Assd Attentive Single Shot Multibox Detector Programmer Sought from programmersought.com
Dssd, with deconvolutional path, improves the previous ssd. Single shot multibox detector (ssd, henceforth) 13, considers a set of layers (or feature maps) and a set of boxes at various scales, and employs convolutional lters to 5. Fu, c., liu, w., ranga, a., tyagi, a., berg, a.c.: Ranga and ambrish tyagi and a. An mxnet implementation of dssd : But fusing features layer fast speed. Download pascal voc dataset (2007 or 2012) and extract at./data; Dssd for deconvolutional single shot detector.

Fu, c., liu, w., ranga, a., tyagi, a., berg, a.c.:

In this blog, i will cover single shot multibox detector in more details. Contribute to ofrin/tensorflow_dssd development by creating an account on github. Pytorch implementation of dssd (deconvolutional single shot detector). 3 deconvolutional single shot detection (dssd) model. This paper studies object detection techniques to detect objects in real time on any device running the proposed model in any environment. Deconvolutional single shot detector · github. Fu, c., liu, w., ranga, a., tyagi, a., berg, a.c.: Ranga and ambrish tyagi and a. Berg}, journal={arxiv}, year={2017}, volume={abs/1701.06659} }. Also brings in context information for prediction. Work proposed by christian szegedy is presented in a more comprehensible manner in. Networks of single shot multibox detectors (ssd) and single shot object detection with feature enhancement and fusion (ffessd). I had initially intended for it to help identify traffic lights in my team's sdcnd capstone project.

(a) the framework of ssd and (b) the framework of ffessd. This means that the tasks of object localization and classification are done in a single forward pass of the network; Fu, c., liu, w., ranga, a., tyagi, a., berg, a.c.: Contribute to ofrin/tensorflow_dssd development by creating an account on github. Dssd 用 deconvolution layers 的目的就在于:

Https Arxiv Org Pdf 1712 00960
Https Arxiv Org Pdf 1712 00960 from
Enhancement of ssd by concatenating feature maps for object detection. Dssd, with deconvolutional path, improves the previous ssd. I had initially intended for it to help identify traffic lights in my team's sdcnd capstone project. Instantly share code, notes, and snippets. Pytorch implementation of dssd (deconvolutional single shot detector). An mxnet implementation of dssd : The things i did was the dssd network definition, including the backbone of resnet101, deconvolutional module, and the prediction modules. (a) the framework of ssd and (b) the framework of ffessd.

A backbone model and ssd head.

Dssd for deconvolutional single shot detector. We begin by reviewing the structure of ssd and then de Single shot multibox detector(ssd) single shot: Single shot multibox detector (ssd, henceforth) 13, considers a set of layers (or feature maps) and a set of boxes at various scales, and employs convolutional lters to 5. Also brings in context information for prediction. Variations of ssd — understanding deconvolutional single. Fu, c., liu, w., ranga, a., tyagi, a., berg, a.c.: Contribute to ofrin/tensorflow_dssd development by creating an account on github. Deconvolutional single shot detector using multi task learning (icra2020 oral) by mprg, chubu university on vimeo, the home for high… Work proposed by christian szegedy is presented in a more comprehensible manner in. The code were borrowed heavily from ssd. This is the name of a technique for bounding box. Networks of single shot multibox detectors (ssd) and single shot object detection with feature enhancement and fusion (ffessd).

Related : Dssd Deconvolutional Single Shot Detector Github - (a) the framework of ssd and (b) the framework of ffessd..